SwitchyOmega规则列表
https://raw.githubusercontent.com/gfwlist/gfwlist/master/gfwlist.txt
https://github.com/FelisCatus/SwitchyOmega/releases
首席执行官(CEO): 公司董事会的代理人.执行董事会授予的部分经营管理权利.是公司政策执行机构的最高负责人.
总裁: 仅次于CEO的公司第二号行政负责人.是行政负责人,所以总是裁人.一般由CEO兼任.
总经理、首席营业官(COO): CEO的助手,公司的第三号人物.负责公司的日常营业.不是行政,所以他不裁人.
董事长的英文是Chairman(准确的说是Chairman of the Board),
总裁是President
首席执行官是Chief Executive Officer,
董事(Member of the Board)
监事(Member of the Board of Supervisors)
董事会秘书(Secretary)
财务主管(Treasure)
公司章程(Bylaw)
尽职调查[简称:DD(Due Diligence)] 并购简称M&A
个人云笔记,开源https://leanote.com/
开启Win7快速启动栏
在任务栏上右键 -> 工具栏 -> 新建工具栏。
在文件夹里面输入这个路径,然后按回车:
%userprofile%\AppData\Roaming\Microsoft\Internet Explorer\Quick Launch
然后在空白外右键去掉显示文件标题
年year, 月month, 日day
一月January, 缩写Jan.
二月February, 缩写Feb.
三月March, 缩写Mar.
四月April, 缩写Apr.
五月May, 缩写May
六月June, 缩写Jun.
七月July, 缩写Jul.
八月August, 缩写Aug.
九月September, 缩写Sep./Sept.
十月October, 缩写Oct.
十一月November, 缩写Nov.
十二月December, 缩写Dec.
美国月份在日期前面, 比如2005年8月3日表达为August 3, 2005.
英国的习惯是日在月前, 比如3 August 2005或3rd August 2005.
两种写法年都在最后.
缩写:正规的英语中六月、七月不缩写,九月的缩写是4个字母,其他月份3个字母。
Hi,vps IO perfomance is poor . Please help me for refund, thanks.
重启AMH是万能命令
/etc/init.d/amh-start
我们觉得别人每天不务正业,其实人家只是不在我们面前努力而已。
当你犹豫不决,或者畏惧止步的时候,看看这个

下载谷歌商店应用
百度或者谷歌“apk downloader”,找到对应的官网进入。
http://apps.evozi.com/apk-downloader/
http://vk.com/
ВКонтакте
https://play.google.com/store/apps/details?id=com.vkontakte.android
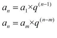
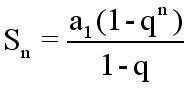
等比数列求和公式(q为公比,n为项数)
Sn=a1(1-q^n)/(1-q) =(a1-an*q)/(1-q) (q≠1)


首页 [1] [2] 3
[4] 末页 | 共4页/46条记录